Управление качеством
Оглавление книги
ГЛАВА 6. УПРАВЛЕНИЕ ЗАТРАТАМИ НА ОБЕСПЕЧЕНИЕ КАЧЕСТВА
6.1. Этапы формирования и виды затрат на качество продукции.
Обеспечение качества продукции связано с затратами.
Качество продукции должно гарантировать потребителю удовлетворение его
запросов, ее надежность и экономию затрат.
Эти свойства формируются в процессе всей воспроизводственной деятельности
предприятия, на всех ее этапах и во всех звеньях. Вместе с ними образуется
стоимостная величина продукта, характеризующая эти свойства от планирования
разработок продукции до ее реализации и послепродажного обслуживания.
На рис. 6.1 покажем цепочку формирования затрат и стоимости товара или
услуги.
Рис. 6.1. Цепочка формирования затрат и создание стоимости продукции
Она позволяет конкретизировать принцип гарантии качества и увидеть когда,
т. е. на каком этапе деятельности, и где, в каком подразделении,
он реализуется. Поскольку за каждый этап и подразделение несет ответственность
руководитель, становится ясно, кто отвечает за качество продукции.
То, что мы подразумеваем под гарантиями, есть технические, технологические,
экологические, эргономические, экономические и иные показатели качества,
которые и обеспечивают удовлетворение запросов потребителя.
Эти показатели имеют качественное выражение и включают в себя плановые,
фактические и критериальные качества продукции.
В фирме "Toyota" выделяют следующие этапы деятельности в области обеспечения
качества: планирование выпуска изделий, конструирование изделия, подготовка
производства, производство, производственный контроль, реализация и обслуживание,
проверка качества в эксплуатации. При этом гарантией качества на перечисленных
этапах являются определенные обязанности и действия каждого подразделения
(см. табл. 6.1).
Таблица 6.1
Деятельность подразделений фирмы ”Тоета” по управлению
производственными затратами.
|
Функциональные мероприятия
|
Исполняющие подразделения
|
Операции по регулированию издержек
|
Значимость
|
|
1
|
2
|
3
|
4
|
|
Планирование продукции
|
Планирование в масштабе всей корпорации
|
1. Определение объема целевых затрат на основе планирования
новой продукции и планирования прибыли, а затем распределение этих
целевых затрат на составляющие.
|
+
|
| |
Отдел планирования продукции
|
2. Выработка целевого объема капиталовложений.
|
+
|
| |
Отдел инженерного обеспечения
|
3. Распределение целевых затрат между различными
конструкторскими подразделениями.
|
0
|
| |
Бухгалтерский отдел
|
4. Распределение целевого объема капиталовложений
между планирующими подразделениями.
|
0
|
|
Конструирование продукции
|
Отдел планирования продукции
|
1. Определение затрат на основе прототипа.
|
+
|
| |
|
2. Оценка возможностей достижения целевых затрат.
|
+
|
| |
Инженерные подразделения
|
3. Принятие необходимых мер для уменьшения разницы
между целевыми затратами и затратами, определенными по прототипу.
|
-
|
|
Подготовка производства
|
Отдел планирования продукции
|
1. Определение затрат, учитывая подготовку линий,
и плана капиталовложений.
|
+
|
| |
Инженерные подразделения
|
2. Оценка возможностей достижения целевых затрат.
|
+
|
| |
|
3. Принятие мер для уменьшения отклонений от целевых
затрат.
|
+
|
| |
Инженерное обеспечение производства
|
4. Определение объема капиталовложений в оборудование.
|
0
|
| |
Отдел контроля продукции
|
5. Оценка производственных планов, условий производства
и принятии решений относительно изготовления или запуска частей.
|
0
|
|
Снабжение
|
Отдел снабжения
|
1. Оценка планов поставки и условий закупки.
|
0
|
| |
|
2. Установление контроля за ценами поставщиков (сравнение
целевого и реального снижения затрат, анализ и принятие необходимых
мер).
|
0
|
| |
|
3. Оценка возможностей уменьшения цен поставщиков,
оказание помощи поставщикам в осуществлении мер по снижению затрат.
|
+
|
|
Производство и контроль
|
Исполняющие подразделения
|
1. Осуществление управления затратами через:
а)планирование финансированных затрат (производственный
отдел и администрация).
|
0
|
| |
Бухгалтерские отделы
|
б)снижение затрат в первоначальных проектах (по
каждому типу изделий и по каждому стоимостному фактору).
|
0
|
| |
|
в)работа среди персонала по проведению мероприятий,
направленных на снижение затрат.
|
+
|
|
Сбыт и обслуживание
|
Исполняющие подразделения
|
1. Определение действительных затрат на новую продукцию
путем всесторонней оценки.
|
0
|
| |
Бухгалтерские отделы
|
2. Участие в анализе и обслуживании проверок на
функциональных совещаниях по управлению затратами и совещаниях различных
комитетов.
|
0
|
”+” – действия, имеющие решающее значение;
”0” – действия, имеющие определенное влияние, но которое в дальнейшем
может быть нейтрализовано.
Из табл. 6.1 видно, что все этапы деятельности фирмы включают в себя
элементы управления затратами.
Если представить деятельность предприятия по вертикали (см. рис. 6.2),
то и в этом случае очевидна актуальность управления затратами.
Рис. 6.2. Вертикальный разрез деятельности предприятия
Они формируются как снизу вверх, так и сверху вниз, различаясь по составу,
величине, способу формирования и отнесения на продукт.
Рис. 2 помогает понять, что затраты на качество связаны не только непосредственно
с производством продукции, но и с управлением этим производством.
Укрупненные затраты, связанные с качеством продукции, можно разделить
на научно-технические, управленческие и производственные. Научно-технические
и управленческие подготавливают, обеспечивают и контролируют условия производства
качественной продукции, т. е. как бы предопределяют наличие и величину
производственных затрат.
Если разработка и конструирование новой продукции осуществляется внешними
организациями, то затраты, обеспечивающие качество на данном предприятии,
будут включать в себя только издержки на внедрение. В отдельных случаях,
особенно при производстве новой продукции, контроль за ее подготовкой
и освоением ведут конструкторские подразделения.
В общем случае управленческие затраты, связанные с гарантией качества
изделия, включают в себя:
- транспортные (внешние и внутренние перевозки сырья, комплектующих
и готовой продукции). Они подразделяются на организационные, обеспечивающие
бесперебойную работу транспорта, взаимоувязку возможности и необходимости
полноты его загрузки; технические, включающие стоимость транспортных
средств, цехов и подъездных путей и затраты на персонал транспортных
подразделений - его набор и оплату труда;
- снабженческие (закупка запланированного по видам, количеству и качеству
сырья и комплектующих материалов). Их можно разделить на непосредственно
материальные – соответствие фактических материальных ресурсов запланированным;
технические, относящиеся к закупке необходимого оборудования и иных
видов основных фондов производственного назначения и для целей управления
предприятия; и затраты на персонал снабженческих подразделений, от деятельности
и компетентности которого зависит в дальнейшем выполнение производственной
программы;
- затраты на подразделение, контролирующие производство;
- затраты, связанные с работой экономических служб, от деятельности
которых зависит качество продукции: плановый отдел (своевременное составление
планов), финансовый (своевременное обеспечение проекта финансовыми ресурсами),
бухгалтерия (выписка счетов) и т. п.;
- затраты на деятельность иных служб аппарата управления предприятием,
которые в различной степени связаны и влияют на обеспечение качества
продукции, особенно управление кадрами, в функции которого входит набор
персонала, повышение его квалификации и проверка соответствия требуемому
уровню и условиям.
Производственные затраты в свою очередь можно разделить на материальные,
технические и трудовые. Причем все они прямо относятся на стоимость продукции.
И если величину управленческих затрат в затратах на качество можно определить
лишь условно, опосредовано, то размер материальных производственных поддается
прямому счету. Значительно проще, чем с управленческие, рассчитать и размер
технических производственных затрат – через амортизационные отчисления,
и трудовых – через заработную плату (оплату нормо-часов).
С целью управления затратами, связанными с обеспечением качества продукции,
надо различать базовые, которые образуются в процессе разработки, освоения
и производства новой продукции и являются в дальнейшем до момента ее снятия
с производства их носителем, и дополнительные, связанные с ее усовершенствованием
и восстановлением утерянного (недополученного по сравнению с запланирован
1000 ным) уровня качества.
Основная часть базовых затрат отражает стоимостную величину факторов
производства, а также общехозяйственные и общепроизводственные расходы,
относимые на изготовление конкретного изделия через смету затрат.
Дополнительные затраты включают в себя затраты на оценку и затраты на
предотвращение.
К первым относятся расходы, которые несет предприятие для того, чтобы
определить, отвечает ли продукция запланированным техническим, экологическим,
эргономическим и иным условиям. Обычно их нетрудно рассчитать. Частично
они включают затраты на контролирующий персонал, специальное оборудование
и накладные расходы отдела технического контроля (отдела качества). Другую
часть составляют затраты на информацию в сфере реализации продукции, на
изучение мнения потребителя о качестве продукции, а именно: разработку,
организацию и проведение специальных выборочных обследований, включая
инструментарий и затраты на оплату персонала.
Ко вторым относятся расходы на доработку и усовершенствование продукции,
не отвечающей стандартам, лучшим мировым образцам, требованиям покупателя,
на проверку, ремонт, усовершенствование инструмента, оснастки, техники
и технологии, а в отдельных случаях и на остановку производства. В данную
группу следует включить затраты на внедрение системы управления качеством,
в том числе ее техническое обеспечение, разработку стандартов, расходы
на документацию, на персонал: его подбор, подготовку, оплату и т. д.
Существует еще одна группа издержек, которые при их возникновении следует
относить или к базовым, или к дополнительным в зависимости от новизны
продукции. Эти затраты на брак и его исправление. Их величина может существенно
колебаться и состоять как из расходов на производство забракованной в
дальнейшем продукции при наличии неисправимого брака или дополнительно
к этому затрат на его исправление, если брак не окончательный, а может
также включать оплату морального и (или) физического ущерба, нанесенного
потребителю некачественной продукцией. В последнем случае издержки, связанные
с качеством продукции, а точнее его отсутствием, могут оказаться весьма
велики.
На рис. 6.3 показана группа затрат по их видам во взаимосвязи с производством
новой продукции и ее усовершенствованием. При этом издержки последней
группы возникают как в сфере производства, так и за ее пределами – в сфере
потребления продукции. Это предъявляет дополнительные требования к информации
о качестве, которая может положительно повлиять на минимизацию затрат
на предотвращение брака и его исправление.
Очевидно, что поскольку затраты на создание, поддержание производства
качественной продукции и, следовательно, имиджа выпускающего его предприятия
образуются и на предприятии, и за его пределами необходим их глубокий
качественный и количественный анализ.
Рис. 6.3. Взаимосвязь затрат, обеспечивающих качество продукции, с новой
и усовершенствованной продукцией
6.2. Информационная база анализа затрат на качество продукции
Для анализа стоимостной величины средств, затрачиваемых на поддержание
качества продукции, используется различная информация. Но прежде чем начать
ее собирать, следует определить, каково ее назначение.
Цели сбора данных в процессе стоимостного анализа качества могут состоять
в следующем:
Снижение затрат на единицу продукции при сохранении ее прежнего качества;
Снижение затрат на изделия при одновременном улучшении их свойств;
Повышение удельных затрат, позволяющее добиться высокого уровня качества,
дающего преимущества по сравнению с конкурентами;
Определение величины издержек по видам для изменения их структуры, но
сохранение прежнего объема затрат на продукцию, позволяющего поддержать
сложившийся уровень цены в целях опережения конкурента по качеству;
Увеличение объема производства без снижения качества продукции из прежнего
объема ресурсов за счет уменьшения и ликвидации отходов;
Анализ отклонений от установленных требований;
Контроль продукции;
Установление цены на 1000 продукцию.
Отсюда видно, что часть данных о качестве, касающаяся технических особенностей
изделия и его производства, находится на предприятии-изготовителе, другая
– на конкурирующем предприятии или в сфере реализации, т. е. во внешней
среде.
Данные для анализа затрат на качество могут быть первичными, как правило,
это технические и иные параметры изделий, содержащиеся в ТУ, ГОСТах, сертификатах
и иных документах, подтверждающих качество продукции, и вторичными, получающимися
в результате обработки первичных. Получение первичных внутренних данных
значительно дешевле, чем вторичных внешних и даже первичных внешних. При
этом вторичные, преобразованные, обычно называют информацией.
Данные различаются также по видам. Они могут быть техническими и экономическими,
например технические обычно внутренние первичные, а экономические и внутренние
и внешние, первичные и вторичные. Все эти различия влияют на величину
расходов времени и денежных средств, затрачиваемых на получение, а также
на методы получения и преобразования данных в целях их дальнейшего анализа.
Сокращает затраты времени на обработку данных разработка таких видов
их носителей, которые делают возможными предварительные выводы сразу после
сбора данных. Для этого необходимо зарегистрировать источник информации
(дату, когда она собиралась, рабочего, делавшего операцию, станок, на
котором производилась обработка, партию используемых материалов и т. п.),
регистрацию осуществлять в таблицах, облегчающих и ускоряющих вычисление
статистических показателей, используемых при принятии оперативных управленческих
решений и для дальнейшего более глубокого статистико-математического анализа
взаимосвязей и тенденций.
В таблице 6.2 показан пример регистрации данных (и их первичной обработки)
размеров 100 деталей, позволяющей быстро определить отклонение от технических
условий (стандартов) и, зная их причину и часовую тарифную ставку рабочего,
в случае его вины, рассчитать размер потерь (и компенсации) из-за снижения
качества изделия. Количество регистрируемых деталей зависит от длительности
цикла обработки. Для примера измерения делают 4 раза в смену.
Таблица 6.2
Пример формы регистрации данных
|
Дата
|
Время измерения, час
|
В среднем за день
|
Отклонение от ТУ
|
Причина отклонения
|
| |
|
|
|
|
|
|
|
|
|
1марта понедельник
|
|
|
|
|
|
|
|
|
|
2 марта вторник
|
|
|
|
|
|
|
|
|
|
3марта среда
|
|
|
|
|
|
|
|
|
|
4 марта четверг
|
|
|
|
|
|
|
|
|
|
5 марта пятница
|
|
|
|
|
|
|
|
|
|
В среднем за интервал
|
|
|
|
|
|
|
|
|
|
Отклонение от ТУ
|
|
|
|
|
|
|
|
|
|
Причина отклонения
|
|
|
|
|
|
|
|
|
Регистрация проводится по рабочим. Если причина отклонений заключается
в неисправности станка, то через норму амортизации подсчитывают величину
потерь по данной причине. Если выясняется, что чрезмерные отклонения от
ТУ зависят от особенностей материалов, обрабатываемых на данном станке,
то с помощью дальнейшего анализа выявляется соответствие вида материала
запланированному, степень пригодности для обработки и т.п., рассчитывается
размер потерь от замены или несоответствия материала [
2] .
Для получения информации об отклонениях размеров обрабатываемой детали
от ТУ можно использовать таблицу, показывающую гистограмму их распределения.
Она позволяет увидеть (см. табл. 6.3) форму кривой распределения отклонений,
рассчитать среднюю и дисперсию.
Таблица 6.3
Контрольный листок регистрации отклонений размера детали от ТУ
|
размер по ТУ
|
отклонен
|
замеры
|
частота
|
| |
|
|
|
|
|
5
|
|
|
|
|
10
|
|
|
|
|
15
|
|
| |
-10
|
|
|
|
|
|
|
|
|
|
|
|
|
|
|
|
|
| |
-9
|
|
|
|
|
|
|
|
|
|
|
|
|
|
|
|
|
|
*
|
-8
|
|
|
|
|
|
|
|
|
|
|
|
|
|
|
|
|
| |
-7
|
|
|
|
|
|
|
|
|
|
|
|
|
|
|
|
|
| |
-6
|
|
|
|
|
|
|
|
|
|
|
|
|
|
|
|
1000 |
| |
-5
|
x
|
|
|
|
|
|
|
|
|
|
|
|
|
|
|
1
|
| |
-4
|
x
|
x
|
|
|
|
|
|
|
|
|
|
|
|
|
|
2
|
| |
-3
|
x
|
x
|
x
|
x
|
|
|
|
|
|
|
|
|
|
|
|
4
|
| |
-2
|
x
|
x
|
x
|
x
|
x
|
x
|
|
|
|
|
|
|
|
|
|
6
|
| |
-1
|
x
|
x
|
x
|
x
|
x
|
x
|
x
|
x
|
x
|
|
|
|
|
|
|
9
|
|
8.300
|
0
|
x
|
x
|
x
|
x
|
x
|
x
|
x
|
x
|
x
|
x
|
x
|
|
|
|
|
11
|
| |
1
|
x
|
x
|
x
|
x
|
x
|
x
|
x
|
x
|
|
|
|
|
|
|
|
8
|
| |
2
|
x
|
x
|
x
|
x
|
x
|
x
|
x
|
|
|
|
|
|
|
|
|
7
|
| |
3
|
x
|
x
|
x
|
|
|
|
|
|
|
|
|
|
|
|
|
3
|
| |
4
|
x
|
x
|
|
|
|
|
|
|
|
|
|
|
|
|
|
2
|
| |
5
|
x
|
|
|
|
|
|
|
|
|
|
|
|
|
|
|
1
|
| |
6
|
x
|
|
|
|
|
|
|
|
|
|
|
|
|
|
|
1
|
| |
7
|
|
|
|
|
|
|
|
|
|
|
|
|
|
|
|
|
|
*
|
8
|
|
|
|
|
|
|
|
|
|
|
|
|
|
|
|
&nb 1000 sp; |
| |
9
|
|
|
|
|
|
|
|
|
|
|
|
|
|
|
|
|
| |
10
|
|
|
|
|
|
|
|
|
|
|
|
|
|
|
|
|
* - граница поля допуска по чертежу
Допусти, мы хотим выявить отклонения от размера детали, который по ТУ
лежит в границах 8,300+- 0,008. Тогда в первой графе таблицы ставятся
нормативные значения, во второй - отклонения, которые регистрируются в
дальнейших графах при проведении замеров. Отметки, сделанные карандашами
разного цвета, позволят наглядно увидеть причины отклонения.
В таблице 6.4 покажем пример регистрации дефектов контролером ОТК штампованной
пластиковой детали. Данная форма позволяет видеть причины брака и быстро
определять нанесенный им ущерб и его виновника.
Таблица 6.4
Контрольный листок дефектов.
Наименование изделия Дата .
Производственная операция штамповка Участок .
Станок
Всего проконтролировано деталей ФИО рабочего .
Предварительное заключение о причине наиболее часто
встречающегося дефекта N партии .
Контролер N заказа .
|
Тип дефекта
|
Результат контроля
|
Итого
|
|
Поверхностные царапины
Трещины
Вмятины
Пропуск операции
Неправильное использование
операции
Другие
|
////\ ////\ ////\ //
////\ ////\ /
////\ ////\ ////
////
////\ ////\ ////\
////\
|
17
11
14
4
15
5
|
|
Итого
|
|
66
|
|
Всего забраковано деталей
|
////\////\////\////\////\////\///
|
33
|
Кроме того, дальнейшее проведение в случае необходимости технической
экспертизы бракованных деталей и сопоставление ее результатов с предварительным
заключением контролера ОТК подтвердит и уровень квалификации последнего.
Возможна также разработка контрольного листка дефектов в форме комбинационной
таблицы, группирующей их по станкам, рабочим и дням недели (см. табл.
6.5). Она особенно удобна для применения на участке с небольшим числом
станков или, когда один станок в течение рабочего дня обслуживают двое
рабочих.
Подобные формы регистрации данных об отклонении параметров качества изделий
от запланированного целесообразны для сбора внутренних первичных технических
характеристик производимой продукции, которые затем используют в факторном
анализе затрат на качество продукции.
Таблица 6.5
Контрольный листок дефектов
|
N станка
|
Рабочий
|
Понедельник
|
Вторник
|
Среда
|
Четверг
|
Пятница
|
Итого по рабочим и станкам
|
| |
|
до обеда
|
после обеда
|
до обеда
|
после обеда
|
до обеда
|
после обеда
|
до обеда
|
после обеда
|
до обеда
|
после обеда
|
до обеда
|
после обеда
|
|
1
|
А
|
|
|
|
|
|
|
|
|
|
|
|
|
| |
Б
|
|
|
|
|
|
|
|
|
|
|
|
|
|
Итого
|
|
|
|
|
|
|
|
|
|
|
|
|
|
|
2
|
А
|
|
|
|
|
|
|
|
|
|
|
|
|
| |
Б
|
|
|
|
|
|
|
|
|
|
|
|
|
|
Итого
|
|
|
|
|
|
|
|
|
|
|
|
|
|
|
Всего по
|
1
|
|
|
|
|
|
|
|
|
|
|
|
|
|
станкам
|
2
|
|
|
|
|
|
|
|
|
|
|
|
|
Одним из внутренних видов данных, позволяющих определить структуру затрат
на изделие и обладающих большим преимуществом перед другими благодаря
обязательности составления, преемственности входящих в нее показателей,
достоверности и наглядности, является смета затрат на производство. Она
удобна для поиска направлений их снижения и минимизации цены изделия.
Кроме того, можно использовать данные о затратах на производство по их
видам, собираемые на счетах бухгалтерского учета.
Более сложным, трудоемким и дороги 1000 м является получение внешней
информации. Часть ее содержится в рекламных проспектах, прайс-листах (price
list), материалах периодической печати и специальной литературе. Эти данные
более надежны по сравнению с получаемыми в сфере реализации путем проведения
специальных выборочных обследований по изучению мнения потребителей о
цене и качестве продукции. Однако информацию, получаемую из выборочных
обследований, трудно чем-либо заменить, если предприятие хочет учесть
желание покупателей для увеличения объема продаж путем улучшения свойств
продукции. (Методика организации и проведения выборочных обследований
рассматривается в разделе...) С этой целью можно использовать опрос продавцов
продукции и покупателей или проводить анкетирование населения, которое
в процессе обработки данных необходимо разбить на группы (классы). Это
позволит определить мнение различных социальных, возрастных и т.д. групп
населения о продукции предприятия с использованием типической выборки
для получения информации.
При сборе таких данных по ограниченному числу потребителей, особенно
при малой выборке, удобно построение диаграмм рассеивания, позволяющих
изучить зависимость между парами переменных, например ценой и внешним
оформлением, упаковкой товара. Этими переменными могут быть:
а) характеристика качества или влияющий на нее фактор;
б) две различные характеристики качества;
в) два фактора, влияющих на одну характеристику качества.
Целесообразно хотя бы одним из переменных брать показатель, выражающий
затраты на качество, создание или поддержание какого-либо свойства продукции
или цену на нее, т.е. стоимостную величину.
Диаграмма рассеивания строится в несколько этапов. На первом в таблице
записывают собираемые данные (х и у), между которыми изучается зависимость.
На втором строится шкала значений показателей путем деления разности
между их максимальной и минимальной величинами на желаемое примерно одинаковое
число частей. На оси х откладывают значения факторного, а на оси у - результативного
признака.
На третьем этапе строят диаграмму рассеивания путем нанесения точек,
полученных в результате наблюдения, на график.
На заключительном этапе вносятся адресные данные: название диаграммы,
время наблюдения, имя исполнителя и другие необходимые сведения.
Приведем пример построения диаграммы рассеивания. Предположим, предприятие
исследует, как влияет качество упаковки часов на спрос на данную продукцию.
Для потребителя упаковка является качественным признаком как в смысле
внешнего оформления, так и сохранности товара. Для производителя же это
еще и количественный показатель, выраженный некоторой суммой затрат. В
целях удобства сбора данных обозначим каждый вид упаковки номером:
1 - продажа без заводской упаковки (завертывание в бумагу в магазине);
2 - мягкий пакет;
3 - фирменный мягкий пакет;
4 - картонная коробка простая;
5 – пластиковый футляр;
6 - коробка фирменная, подарочная.
Каждому виду упаковки соответствует определенная цена товара (цена упаковки
покупателю не сообщается и воспринимается им как разность между последующей
и предыдущей ценами изделия в зависимости от вида его оформления). Она
колеблется в пределах от 4 до 9 денежных единиц и составляет целые числа
с интервалом в 1 денежную единицу. Однако в процессе обследования покупатели
называли и дробные значения, что было учтено. Результаты обследования
30 покупателей, проведенного в форме устного опроса, приведены в таблице
6.6.
Таблица 6.6
Данные опроса покупателей магазина ”Подарки” об упаковке и цене часов
”Электроника”
|
Дата
|
Цена, ден. ед.
|
Вид упаковки, N
|
Дата
|
Цена, ден. ед.
|
Вид упаковки, N
|
|
18.2
-" -
18.2
-"-
18.2
18.2
19.2
-"-
-"-
19.2
-"-
-"-
19.2
-"-
19.2
|
4
-"-
4,5
-"-
6
8
5,5
-"-
-"-
5
-"-
- 1000 "-
7
-"-
7,5
|
1
2
2
3
4
5
3
4
5
2
3
3
5
6
6
|
20.2
20.2
20.2
-"-
21.2
21.2
-"-
-"-
22.2
22.2
-"-
-"-
23.2
23.2
-"-
|
4
4,5
6
-"-
7,5
5,5
-"-
-"-
4,5
6,5
-"-
-"-
8
5
-"-
|
3
1
5
5
5
3
4
5
4
3
4
5
6
4
5
|
Исполнитель: Зайцева З.Н.
Для облегчения построения диаграммы рассеивания и дальнейшей математической
обработки данных исходный материал из табл. 6 целесообразно представить
в ранжированном виде:
|
Цена
|
N упаковки
|
Цена
|
N упаковки
|
|
4
|
1,2,3
|
6,5
|
3,4,5
|
|
4,5
|
1,2,3,4
|
7
|
5,6
|
|
5
|
2,3,4,5
|
7,5
|
5,6
|
|
5,5
|
3,4,5
|
8
|
5,6
|
|
6
|
4,5
|
8,5
|
0
|
| |
|
9
|
0
|
Обратим внимание, что цена подарочной коробки не называлась и максимальная
цена фактически составила 8 ден. ед.
По ранжированным данным построим диаграмму рассеивания (рис. 6.4)
|
Цена д.е.
|
|
|
|
|
|
|
|
|
|
|
|
|
|
|
| |
|
|
|
|
|
|
|
|
|
|
|
|
|
|
|
9
|
|
|
|
|
|
|
|
|
|
|
|
|
|
|
| |
|
|
|
|
|
|
|
|
|
|
|
|
|
|
|
8
|
|
|
|
|
|
|
|
|
|
X
|
|
X
|
|
|
| |
|
|
|
|
|
|
|
|
|
X
|
|
X
|
|
|
|
7
|
|
|
|
|
|
|
|
|
|
X
|
|
X
|
|
|
| |
|
|
|
|
|
X
|
|
X
|
|
X
|
|
|
|
|
|
6
|
|
|
|
|
|
|
|
X
|
|
X
|
|
|
|
|
| |
|
|
|
|
|
X
|
|
X
|
|
X
|
|
|
|
|
|
5
|
|
|
|
X
|
|
X
|
|
X
|
|
X
|
|
|
|
|
| |
|
X
|
|
X
|
|
X
|
|
X
|
|
|
|
|
|
|
|
4
|
|
X
|
|
X
|
|
X
|
|
|
|
|
|
|
|
|
| |
|
|
|
|
|
|
|
|
|
|
|
|
|
|
| |
|
1
|
|
2
|
|
3
|
|
4
|
|
5
|
|
6
|
|
Вид упаковки, N
|
Рис. 6.4. Диаграмма рассеивания для вида упаковки и цены часов ”Электроника”
Данные диаграммы рассеивания позволяют сделать предварительные выводы
о взаимосвязи исследуемых переменных, в данном примере о предпочтениях
покупателя относительно качества упаковки, обеспечивающей сохранность
изделия, и его цены. Предпочтения отданы надежной упаковке при умеренной
цене, верхний уровень которой в ответах не назван, что должно обратить
на себя внимание предприятие-производителя, как сигнал о завышении в глазах
покупателя цене.
Таким образом, несмотря на разносторонность информации, характеризующей
затраты на качество продукции, и факторы, влияющие на него и на подобные
расходы, необходимо и вполне возможно уже на этапе формирования данных
использовать наглядные формы их представления в сочетании с методиками
первичного анализа: группировкой, графическим и т. д. Это значительно
ускоряет процесс анализа и облегчает дальнейшее использование в его целях
статистико-математических методов.
6.3. Методы анализа затрат на качество продукции.
В зависимости от целей, задач анализа затрат на качество и возможностей
получения необходимых для его осуществоления данных, аналитические методы
существенно различаются. Влияет на это различие и прохождения продукцией
определенного этапа деятельности предприятия, и ее место в цепочке формирования
затрат в конкретный момент (см. рис. 6.5).
На этапах проектирования, технологического планирования, подготовки и
освоения про 1000 изводства целесообразно применение функционально-стоимостного
анализа (ФАС). Это – метод системного исследования функций отдельного
изделия или технологического, производственного, хозяйственного процесса,
структуры ориентированный на повышение эффективности использования ресурсов
путем оптимизации соотношения между потребительскими свойствами объекта
и затратами на его разработку, производство и эксплуатацию.
Основными принципами применения ФАС являются:
- функциональный подход к объекту исследования;
- системный подход к анализу объекта и выполняемых им функций;
- исследование функций объекта и их материальных носителей на всех стадиях;
- жизненного цикла изделия;
- соответствие качества и полезности функций продукции затратам на них;
- коллективное творчество.
Выполняемые изделием и его составляющими функции можно сгруппировать
по нескольким основаниям.
По области проявления функции подразделяются на внешние и внутренние.
Внешние – это функции, выполняемые объектом при его взаимодействии
с внешней средой.
Внутренние – функции, которые выполняют какие-либо элементы объекта
и их связи в границах объекта.
По роли в удовлетворении потребностей среди внешних функций различают
главные и второстепенные.
Главная функция отражает главную цель создания объекта, а второстепенная
– побочную.
По роли в рабочем процессе внутренние функции можно подразделить
на основные и вспомогательные.
Основная функция подчинена главной и обуславливает работоспособность
объекта. С помощью вспомогательных реализуются главные, второстепенные
и основные функции.
По характеру появления все перечисленные функции делятся на номинальные,
потенциальные и действительные.
Номинальные – задаются при формировании, создании объекта и обязательны
для выполнения. Потенциальные отражают возможность выполнения объектом
каких-либо функций при изменении условий его эксплуатации. Действительные
– это фактически выполняемые объектом функции.
Все функции объекта могут быть полезными, и бесполезными,
а последние нейтральными и вредными.
Взаимосвязь функций показана на рис. 6.5.
Рис. 6.5. Взаимосвязь выполняемых объектом функций
Цель функционально-стоимостного анализа состоит в развитии полезных функций
объекта при оптимальном соотношении между их значимостью для потребителя
и затратами на их осуществление, т.е. выборе наиболее благоприятного для
потребителя и производителя, если речь идет о производстве продукции,
варианта решения задачи о качестве продукции и ее стоимости. Математически
цель ФСА можно записать следующим образом:
(6.1)
где
ПС – потребительная стоимость анализируемого объекта, выраженная совокупностью
его потребительных свойств ( );
З – издержки на достижение необходимых потребительных свойств.
Функционально-стоимостной анализ проводят в несколько этапов.
На первом, подготовительном этапе, уточняют объект анализа – носитель
затрат. Это особенно важно при ограниченности ресурсов производителя.
Например, выбор и разработка или усовершенствование продукции, выпускаемой
в массовом порядке, может принести предприятию значительно больше выгод,
чем более дорогого изделия, производимого мелкосерийно.
Данный этап завершается если найден вариант с низкой по сравнению с другими
себестоимостью и высоким качеством.
На втором, информационном этапе, собираются данные об исследуемом
объекте (назначение, технико-экономические характеристики) и составляющих
его блоках, деталях (функции, материалы, себестоимость). Они идут несколькими
потоками по принципу открытой информационной сети, имеющей, например,
модифицированную форму “шпоры” (рис. 6.6).
Рис. 6.6. Модель информационной сети ФСА
В нее информация по улучшению качества изделия и снижению затрат на его
производство поступает из конструкторских (К), экономических (Э) подразделений
предприятия и от потребителя (М) к руководителям соответствующих служб.
Оценки и пожелания потребителей аккумулируются в маркетинговом отделе.
В процессе работы исходные данные обрабатываются, преобразуясь в соответствующие
показатели качества и затрат, проходя все заинтересованные подразделения
, и поступают к руководителю проекта (А).
На третьем, аналитическом этапе, подробно изучаются функции изделия
(их состав, степень полезности), его стоимость и возможности ее уменьшения
путем отсечения второстепенных и бесполезных. Это могут быть не только
технические, но и органолептические, эстетические и др. функции изделия
или его деталей, узлов. Для этого целесообразно использовать принцип Эйзенхауэра –
принцип АВС (рис. 6.7).
Рис. 6.7. Принцип Эйзенхауэра в ФСА
Одновременно отсекаются прежние затраты. Использование табличной формы
распределения функций облегчает такой анализ ( см. табл. 6.7).
Таблица 6.7
Распределение служебных функций изделия Х по принципу АВС
|
Детали
|
Функции
|
Итого по детали
|
Предварительный вывод
|
| |
1
|
2
|
3
|
4
|
-----
|
|
|
|
1
|
А
|
В
|
В
|
С
|
-----
|
1С
|
––
|
|
2
|
В
|
С
|
А
|
С
|
-----
|
2С
|
усовершенствовать
|
|
3
|
В
|
А
|
В
|
С
|
-----
|
1С
|
––
|
|
4
|
С
|
В
|
В
|
А
|
-----
|
1С
|
––
|
|
-----
|
-----
|
-----
|
-----
|
-----
|
-----
|
-----
|
-----
|
|
Итого по функции
|
1С
|
1С
|
––
|
3С
|
|
|
|
|
Предварительный вывод
|
––
|
––
|
––
|
ликвидировать
|
––
|
––
|
––
|
В итоговые графы заносятся данные о количестве второстепенных, вспомогательных,
бесполезных функций по деталям, что позволяет сделать предварительный
вывод об их необходимости.
Далее можно построить таблицу стоимости деталей по смете или наиболее
важным ее статьям и оценить весомость функций каждой детали во взаимосвязи
с затратами на их обеспечение. Это позволит выявить возможные направления
снижения издержек путем внесения изменений в конструкцию изделия, технологию
производства, замены части собственного производства деталей и узлов полученными
комплектующими, замены одного вида материала другим, более дешевым или
экономичным в обработке, смена поставщика материалов, размера их поставок
и т.д.
Группировка затрат на функции по факторам производства позволит выявить
первоочередность направлений снижения стоимости изделия. Такие направления
целесообразно детализировать ранжируя по степени значимости , определяемой
экспертным путем, и сопоставляя с затратами, выбирать пути удешевления
продукции. Для этого можно набросать таблицу (табл. 6.8).
Таблица 6.8
Сопоставление коэффициентов значимости функций и их стоимости
|
Ранг функции
|
Значимость, %
|
Удельный вес затрат на функцию в общих затратах,
%
|
К затрат на функцию
|
|
1
|
2
|
3
|
4
|
|
1
2
3
4
5
|
40
30
15
10
5
|
40
50
5
3
2
|
1,00
1,67
0,33
0,30
0,40
|
|
Итого
|
100
|
100
|
---
|
Сопоставив удельный вес затрат на функцию в общих затратах и значимость
соответствующей ему функции можно вычислить коэффициент затрат по функциям
(гр. 4, табл. 6.8).
Оптимальным считается Кз/ф »
1. Кз/ф < 1 желательнее,
чем Кз/ф > 1. При существенном
превышении данного коэффициента единицы необходимо искать пути удешевления
данной функции. В нашем примере (табл.8) такой является функция с 30-ти
процентным, вторым, уровнем значимости.
Результатом проведенного ФСА является варианты решения, в которых необходимо
сопоставить совокупные затраты на изделия, являющиеся суммой поэлементных
затрат, с какой-либо базой. Этой базой могут, например, служить минимально
возможные затраты на изделие. Теория ФСА предлагает исчислять экономическую
эффективность ФСА, которая показывает, какую долю составляет снижение
затрат в их минимально возможной величине.
,
(6.2)
где
КФСА – экономическая эффективность ФСА (коэффициент снижения текущих
затрат);
СР – реально сложившиеся совокупные затраты;
СФ.Н. – минимально возможные затраты, соответствующие
спроектированному изделию.
На четвертом исследовательском этапе оцениваются предлагаемые
варианты разработанного из 1000 делия.
На пятом рекомендательном – отбираются наиболее приемлемые для
данного производства варианты разработки и усовершенствования изделия.
С этой целью можно рекомендовать построение матричной таблицы (табл.
6.9)
Таблица 9
Таблица решений по вариантам выбора изделий для производства
|
|
|
А
Значимость функции: высокая
Затраты: низкие
Рентабельность изделия: высокая
|
В
Значимость функции: высокая
Затраты: средние
Рентабельность изделия: средняя
|
С
Значимость функции: высокая
Затраты: высокие
Рентабельность изделия: средняя
|
|
|
|
D
Значимость функции: средняя
Затраты: низкие
Рентабельность изделия: высокая
|
E
Значимость функции: средняя
Затраты:средние
Рентабельность изделия: средняя
|
F
Значимость функции: средняя
Затраты: высокие
Рентабельность изделия: низкая
(средняя?)
|
|
|
|
G
Значимость функции: низкая
Затраты: низкие
Рентабельность изделия: средняя
|
H
Значимость функции: низкая
Затраты: средние
Рентабельность изделия: низкая
|
I
Значимость функции: низкая
Затраты: высокие
Рентабельность изделия: низкая
|
С учетом значимости функций изделия, его узлов, деталей и уровня затрат
посредством ценообразования, основываясь на знании спроса на продукцию
определяется уровень ее рентабельности. Все это в совокупности служит
цели принятия решения о выборе конкретного изделия к производству или
направлений и масштаба его усовершенствования.
Существенную помощь в определении затрат на качество продукции могут
оказать методы технического нормирования. Они основаны на расчете
подетальных норм и нормативов материальных ресурсов (сырья, покупных комплектующих
изделий и др. видов материалов), расчете трудоемкости и иных затрат, включаемых
в себестоимость продукции в соответствии с проектными размерами, конкретной
технологии ее изготовления, хранения и транспортировки, а также затрат
на гарантийное и сервисное обслуживание. Для их расчета используются методы
микроэлементного нормирования, нормативно-справочные материалы методы
технического нормирования позволяют достаточно точно определить затраты
как на новое изделие по его составляющим, так и при усовершенствовании
продукции.
Если предприятие переходит к производству новой продукции, имевшей ранее
аналог по потребительскому назначению и свойствам, то затраты на качество
(ЗК) будут определяться разностью между затратами на старую
(ЗСТ) и новую (ЗН) продукцию:
.
(6.3)
Если предприятие усовершенствует качественные параметры производимого
ранее изделия, то затраты на качество можно определить прямым счетом по
соответствующим норам и направлениям.
Степень тесноты связи между какими-либо характеристиками качества, имеющими
количественное выражение, и затратами на него или ценой изделия, как формой
его стоимости, в которой основной удельный вес занимают затраты, позволяет
определить коэффициент корреляции. Его можно исчислить по формуле:
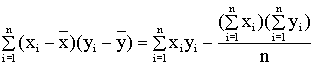
r = ,
(6.4)
где
S(xx) =
= ;
1000 (6.5)
S(yy) = ;
(6.6)
S(xy) = ;
(6.7)
где n – число пар данных;
S(xy) называется ковариацией.
Коэффициент корреляции может принимать значения от -1 до +1, т. е.
-1 £ r
£ 1.
При r близком к | 1 | можно говорить о высокой степени тесноты
связи между исследуемыми переменными и напротив: при r близком к 0 корреляция
между ними выражена слабо. Если r=| 1 |, все точки на диаграмме
рассеивания будут лежать на прямой. Такая зависимость называется функциональной,
когда r = 0, корреляционная связь между факторным и результативным
показателями отсутствует. Знак “+” или “-” говорит о направлении связи
– прямом или обратном.
По приведенным формулам (6.4-6.7) найдем по данным табл. 6.6 коэффициент
корреляции. Дополнительные необходимые расчеты приведем в табл. 6.10.
Тогда, подставив полученные значения, будем иметь:
S (xx) = ,
S (yy) = .
S (xy) = .
Отсюда:
r = .
Значение r, равное +0,758, свидетельствует о наличии высокой положительной
корреляции между упаковкой товара, являющейся одним из показателей его
качества и ценой на него, в которой воплощены затраты на товар.
Таблица 6.10
Показатели для расчета коэффициента корреляции
|
X
|
X2
|
Y
|
Y2
|
XY
|
1
2
2
3
4
5
3
4
5
2
3
3
5
6
6
3
1
5
5
5
3
4
5
4
3
4
5
6
4
5
|
1
4
4
9
16
25
9
16
25
4
9
9
25
36
36
9
1
25
25
25
9
16
25
16
9
16
25
36
16
25
|
4
4
4,5
4,5
6
8
5,5
5,5
5,5
5
5
5
7
7
7,5
4
4,5
6
6
7,5
5,5
5,5
5,5
4,5
6,5
6,5
6,5
8
5
5
|
16
16
20,25
20,25
36
64
30,25
30,25
30,25
25
25
25
49
49
56,25
16
20,25
36
36
56,25
30,25
30,25
30,25
20,25
42,25
42,25
42,25
64
25
25
|
4
8
9
13,5
24
40
16,5
22
27,5
10
15
15
35
42
45
12
4,5
30
30
37,5
16,5
22
27,5
18
19,5
26
32,5
48
20
25
|
|
S
116
|
506
|
170,5
|
1008,75
|
695,5
|
Одним из методов, позволяющих проанализировать изменение затрат, связанных
с изменением качества продукции является индексный метод. Сложность
его применения к данному предмету исследования заключается в том, что
оба признака должны быть выражены количественно. Качество же, не всегда
имеет количественное значение и может описываться словесно, например:
продукция пригодная и не прошедшая сертификацию, соответствующая и не
соответствующая техническим условиям и др.
Если показатели качество имеют числовые характеристики, при пост 1000
роении индексов их можно использовать как весы затрат. В противном случае
весами может служить количество элементов конструкции изделия, количество
деталей, узлов, изделий.
В табл. 6.11 приведены данные о запланированной и фактической стоимости
стального листа, используемого для производства труб, турбин и т.д. Покажем
расчет их изменения.
Таблица 6.11
Стоимость стального листа для изделия
|
По плану
|
Фактически
|
|
Толщина листа, мм
|
Стоимость листа по плану, ден. ед.
|
Толщина листа,мм
|
Стоимость листа фактически, ден. ед.
|
4,62
4,50
4,43
4,81
4,12
4,01
3,88
3,67
3,30
3,21 |
42
42
44
42
44
44
46
46
48
48 |
3,05
3,16
2,28
2,71
2,62
2,53
2,24
2,02
1,95
1,83 |
48
48
50
50
50
50
52
52
52
52 |
|
S
40,55
|
446
|
24,97
|
504
|
Общее фактическое изменение затрат на данное сырье по сравнению с планом
составляет без учета изменения его расхода
504 / 446 = 1,1300 или 113%.
Затраты возросли на 13%. Однако из таблицы видно, что вследствие уменьшения
толщины стального листа на изготовление изделия его требуется меньше на
24,97 / 40,55 * 100% – 100% = 62,39%.
Рассчитаем индекс затрат с учетом качества и проанализируем влияние на
него обоих факторов: изменения расхода нового сырья и его стоимости.
,
где
IЗК – индекс затрат с учетом качества;
qН.К. – расход нового по качественным характеристикам сырья,
натур. ед.;
qС.К. –расход старого по качественным характеристикам сырья,
натур. ед.;
zН.К. –затраты (стоимость) нового сырья, ден. ед.;
zС.К. –затраты (стоимость) старого сырья, ден. ед.;.
– индекс, учитывающий изменение качества сырья, без изменения его стоимости;
– индекс, учитывающий изменение затрат на продукцию, с учетом изменения
качества сырья.
Тогда для нашего примера:

или 69,662%.
Таким образом, с учетом потребления более качественного сырья индекс
затрат с учетом качества составил 69,662%, т. е. затраты снизились по
сравнению с планом на
100,0 – 69,662 = 30,338%.
За счет снижения расхода высококачественной листовой стали, по сравнению
с запланированной, изменение составило:

или 61,446%.
Таким образом, снижение составило:
61,446 – 100 = 38,554%.
Изменение же стоимости нового качественного материала, вызванное повышением
трудоемкости его обработки и оплаты трудозатрат, равняется:
или 113,371%,
или
113,371 – 100 = 13,371%.
Проверка:
0,61446 * 1,13371 = 0,69662,
что подтверждает правильность проделанных вычислений.
Для оценки качества и конкурентоспособности изделия возможно применение
метода бальной оценки. В соответствии с ним каждому качественному
параметру изделия выставляется балл с учет 1000 ом значимости этого параметра
для изделия в целом и избранной для оценки шкалы – 5-ти, 10-ти, 100-бальной.
После этого определяется средний балл изделия, характеризующий уровень
его качества в баллах. Путем деления цены изделия на средний балл исчисляют
стоимость одного среднего балла ( ):
,
где
Р – цена изделия;
– средний балл изделия с учетом параметров его качества.
Подобный расчет целесообразно проводить при сравнительном анализе изделий
для решения вопроса об их запуске в производство или эффективности предлагаемых
качественных усовершенствований.
К параметрам качества можно относить как технико-экономические параметры,
так и эстетические, органолептические свойства, соответствие моде и т.
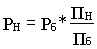
п. для расчета цены новой продукции можно использовать следующую формулу:
,
где
РН – цена новой продукции, ден. ед.;
Рб – цена базовой продукции, ден. ед.;
Бб – сумма баллов, характеризующих параметры качества базовой
продукции;
БН – сумма баллов, характеризующих параметры качества новой
продукции;
– средняя цена одного балла, характеризующего параметры качества базовой
продукции.
Аналогичен балльной оценке метод удельной цены. Он заключается
в определении цены на основе расчета стоимости единицы основного параметра
качества: мощности, производительности и т. д. Для расчета используется
формула:
,
откуда
,
или
,
где
ПН –значение основного параметра качества базового изделия
в баллах;
Пб – значение основного параметра качества нового изделия
в баллах;
– соотношение (преимущество) основных параметров качества нового и базового
изделия;
– удельная цена единицы основного параметра качества базового изделия,
ден. ед.
На практике для решения вопроса о выборе изделия для запуска в производстве
должны проводиться все виды проектного анализа: коммерческий, технический,
организационный, социальный, экологический и экономический для чего следует
применять все доступные в каждой конкретной ситуации методы. Только такой
анализ может считаться полноценным и дать объективный результат для принятия
управленческого решения.
В некоторых отраслях промышленности, связанных с особыми условиями производства
и требованиями к качеству продукции, например, в электронной, как правило,
не достигается стопроцентный выпуск годных изделий. Предприятия таких
отраслей в планах предусматривают технологические потери, учитывающие
этот процент. При повышении фактического выхода годных изделий снижаются
затраты на технологические потери.
Фактический выход годных определяется по формуле:
,
где
qr – количество изделий, изготовленных в отчетном периоде
в соответствии с научно-технической документацией и сданных на склад;
qk – количество комплектов деталей и сборочных единиц, поступивших
в отчетном периоде на операцию, принятую для данного вида изделий при
определении величины технологического выхода в качестве начальной операции.
D Нn – изменение
суммы остатков незавершенного производства на начало и конец отчетного
периода, приведенных к начальной операции.
Тогда величина
100% – ВГ.Ф.
будет соответствовать проценту затрат на продукцию, не удовлетворяющую
ТУ.
Обобщающий показатель качества можно исчислить по формуле:
где
Кk – коэффициент качества;
Сб – стоимость забракованной в процессе производства продукции,
ден. ед.;
Сд – стоимость дефектной продукции, за которую по рекламациям
уплачен штраф, ден. ед.;
Сг – стоимость продукции, подвергнутой гарантийному ремонту,
ден. ед.;
Сф – стоимость продукции, фактически реализованной за отчетный
период, ден. ед.
Чем ближе величина коэффициента качества к нулю, тем лучше работает предприятие.
6.4. Анализ брака и потерь от брака
Политика предприятия должна быть изначально нацелена на высокое качество
продукции. Однако брак, являющийся его противоположностью, может возникнуть
на любом предприятии. Его необходимо учитывать.
Брак может быть обнаружен на самом предприятии-производителе продукции
и за его пределами. Проявившийся в сфере реализации или в процессе использования
продукции брак, свидетельствует как о плохом ее качестве, так и о качестве
работы предприятия. Он называется рекламацией.
Рекламации сравнивают по стоимость и по количеству с прошлым периодом.
Их рассчитывают на 100, 1000, 10000 изделий в зависимости от объема производства.
Появление рекламаций наносит производителю не только материальный, но
и моральный ущерб, сказываясь на его репутации.
При анализе брака рассчитывают абсолютные и относительные показатели.
Абсолютный размер брака представляет собой сумму затрат на окончательно
забракованные изделия и расходов на исправление исправимого брака (Аб).
Абсолютный размер потерь от брака получают вычитанием из абсолютного
размера брака стоимости брака по цене использования, суммы удержаний с
лиц-виновников брака и суммы взысканий с поставщиков за поставку некачественных
материалов (АП.б.).
Как правило, Аб ³
АП.б.
Относительные показатели размера брака и потерь от брака рассчитывают
процентным отношением абсолютного размера брака или потерь от брака соответственно
к производственной себестоимости товарной продукции.
Рассмотрим пример:
Таблица 6.12
Расчет показателей брака
|
NN
п/п
|
Показатель, ден. ед.
|
Предыдущий год
|
Отчетный год
|
|
1
2
|
Себестоимость окончательного брака
Расходы по исправлению брака
|
20 000
10 000
|
24 000
7 500
|
|
3
|
Абсолютный размер брака (стр.1 + стр.2)
|
30 000
|
31 500
|
|
4
5
6
|
Стоимость брака по цене использования
Суммы, удержанные с лиц-виновников брака
Суммы, взысканные с поставщиков
|
6 000
–
–
|
6 500
1 500
8 000
|
|
7
|
Абсолютный размер потерь от брака (стр.3 + стр.4 - стр.5 - стр.6)
|
24 000
|
14 700
|
|
8
|
Валовая (товарная) продукция по производственной себестоимости
|
400 000
|
420 000
|
|
9
|
Относительный размер брака (стр.3 / стр.8 * 100%)
|
7,5
|
7,5
|
|
10
|
Относительный размер потерь от брака (стр.7 / стр.8 * 100%)
|
6,0
|
3,5
|
Из табл. 6.12 можно сделать вывод, что основной причиной брака явилась
поставка некачественного сырья или иных видов материальных ресурсов. В
отчетном год 1000 у, основываясь на опыте предыдущего периода, производитель
составил договор на поставку материалов, предусматривающий компенсацию
в случае их низкого качества, которая и позволила сократить абсолютный
размер потерь от брака на
(24 000 – 14 700) = 9 300 ден. ед.
или на
38,75% (
* 100%).
Относительный размер потерь от брака снизился на
6,0 – 3,5 = 2,5%.
Определим стоимость годной продукции, которая могла бы быть получена
при отсутствии брака (D
q). Для этого следует фактический объем товарной продукции в плановых
ценах (q1Pпл) умножить на долю окончательного брака
производственной себестоимости (dо.б.).
Или:
D q = q1Pпл
* dо.б..
Пусть для нашего примера q1Pпл = 500 000 ден. ед.
Тогда:
D q = 500
000 *
= 28571,4 ден. ед.
Менеджеры должны рекомендовать руководству фирмы найти предприятие, поставляющее
более качественное сырье для данного производства.
И анализ брака, обнаруженного на предприятии, и анализ реклмаций следует
проводить по их причинам:
- производственно-технологическим;
- конструктивных недостатков;
- качества сырья и комплектующих изделий;
- по вине рабочих;
- прочим.
Это позволит более точно определить размер излишне израсходованных средств
и пути снижения затрат на обеспечение качества продукции.
6.5. Экономическая эффективность новой продукции
Производство продукции более высокого качества по сравнению с заменяемой
должно сопровождаться и повышением эффективности производства за счет
снижения затрат.
Методы расчета экономической эффективности можно укрупненно классифицировать
по четырем основным направлениям.
Первое направление. Оно включает в себя применение новых технологических
процессов, механизации и автоматизации производства новых способов организации
производства и труда, усовершенствованной технологии, обеспечивающих повышение
качества продукции при одновременной экономии производственных ресурсов,
при выпуске одной и той же продукции.
В этом случае расчет годового экономического эффекта производится по
формуле:
Э = (З1 - З2) * В2 ,
где
Э – годовой экономический эффект, ден. ед.;
З1 и З2 – приведенные затраты единицы продукции
(работы), производимой с помощью базовой (1) и новой (2) техники, ден.
ед.;
В2 – годовой объем производства продукции (работы) с помощью
новой техники в расчетном году, натуральных единиц.
Расчеты снижения себестоимости продукции должны учитывать только те затраты,
которые изменяются в связи с производством и использованием новой техники.
Если новая техника повышает производительность, одновременно снижая накладные
расходы (цеховые и общезаводские), их экономия находится прямым счетом
по изменяющимся статьям затрат.
В случае, когда новая технология отличается от базовой только изменением
одной или нескольких операций, годовой экономический эффект рассчитывается
с помощью сравнения изменяющихся элементов затрат на этих операциях.
Второе направление проводимых организационно-технических мероприятий
включает в себя производство и использование новых средств труда долговременного
применения (машины, оборудования) с улучшенными качественными характеристиками
(производительность, долговечность, издержки эксплуатации и т.д.).
Третье направление включает в себя производство и использование
новых или усовершенствованных предметов труда, к которым относятся такие
материальные ресурсы, как материалы, сырье, топливо, а также средства
труда со сроком службы менее одного года.
Четвертое направление проводимых оргтехмеро c87 приятий включает
в себя производство и использование новой техники, не имеющих аналога,
а также новой продукции и продукции повышенного качества (с более высокой
ценой) для удовлетворения нужд населения или этой продукции, разработанной
на основе НИР и ОКР.
Расчет годового экономического эффекта имеет широкое применение в практике
экономических расчетов. Его величина показывает общую экономию годовых
затрат по сравниваемым вариантам. Методы расчета величины годового экономического
эффекта различаются в зависимости от показателей, характеризующих объект
новой техники как в сфере производства, так и в сфере использования.
В каждом из рассмотренных выше четырех направлений внедрения в производство
инновационных достижений в области научно-технического прогресса имеется
своя специфика, которая и учитывается в расчете показателя годового экономического
эффекта.
Наряду с другими показателями годовой экономический эффект является одним
из основных элементов расчета экономической эффективности капитальных
вложений и новой техники.
В качестве показателей эффективности достаточно широко применяют систему
показателей рентабельности, исчисляемых как отношение в общем виде прибыли
к затратам. Причем в зависимости от целей исследования числитель и знаменатель
этой дроби могут быть детализированы, что, в свою очередь, позволяет провести
факторный анализ показателя рентабельности, на базе которого была проведена
детализация.
Выводы
Обеспечение качества продукции связано с затратами.
Все этапы деятельности современных фирм включают элементы управления
затратами.
В зависимости от целей, задач анализа затрат на качество и возможностей
получения необходимой информации методы управления затратами могут быть
различны. На это влияет и прохождение продукцией определенного этапа деятельности
предприятия.
На этапах проектирования, технологического планирования, подготовки и
освоения производства целесообразно применение функционально-стоимостного
анализа.
Политика предприятия должна быть нацелена на высокое качество. Брак,
являющийся его противоположностью, может возникнуть на любом предприятии.
Его надо учитывать.
Оглавление книги
|